来源 : 2016 年 07 期
新型“爱心公交椅”智能自控装置
作者: 周远航
湖南省汨罗市第一中学
目前,城市公共交通车上都明确设有一定数量的“老弱病残孕优待座”,为这类需要照顾的乘客提供出行方便,这一措施的制订体现了城市公共管理机构的执政伦理和人性关怀。让公交车上的“优待座”能够真正发挥其优待作用,是城市文明的体现,对其他乘车公民来说,善待“优待座”也是一种公德要求。
但是,现实情况并不令人满意,有时候我们也会看到在拥挤的车厢中一些坐在“优待座”上的年轻人并不给需要这个位置的人让座的事情,甚至电视里还经常播出因为让座问题起争执进而大打出手的新闻。那除了提高人们的公共道德水平,还有什么方法可以让大家善待“优待座”呢?我决定研究和设计一款新型“爱心公交椅”智能自控装置。
装置的工作原理设计
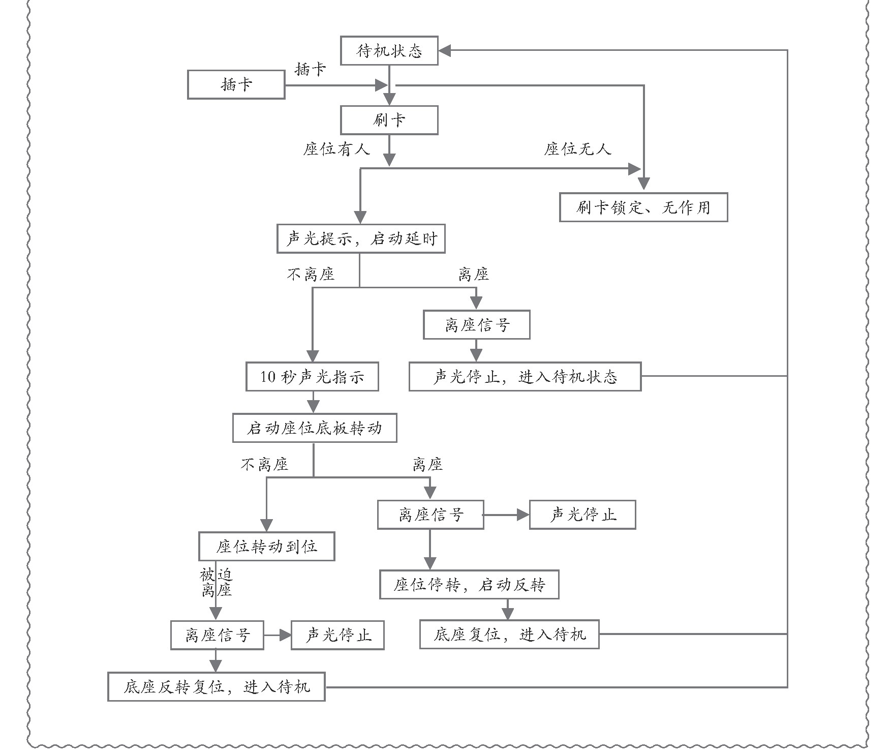
原理实现说明
Ⅰ)优待者上车刷卡后,如优待座位上无人,则无需任何提示,优待者直接坐入优待座。
Ⅱ)优待者上车刷卡后,如优待座位上坐有不具备优待资格的乘客,则优待座上的灯光智能自控系统与声音智能自控系统同时启动,提示非优待者让座,如果占位者马上起身让座,声光智能自控系统马上停止运行;如果占位者在声光智能自控系统的提示下仍表现出视而不见的态度,声光智能自控系统会循环提示,并启动延时信号系统,继而启动机械智能自控系统,使优待座的座板转动倾斜,促使其让座。
Ⅲ)优待者上车刷卡,坐在优待座后,用优待卡在优待座扶手处的锁定口刷一下,优待座进入锁定状态,直到优待者离座,锁定自动解除。
Ⅳ)由于病人、孕妇等乘客一时不具备优待卡,但也有优待资格,便由司机完成这些程序。
装置的智能自控让座原理图
装置功能实现的技术路线图
装置的“灯光智能自控”系统工作图
装置的“声音智能自控”系统工作图
装置的“机械智能自控”系统工作过程图
装置的总体结构
该装置的总体结构方案图
“爱心公交椅”实物图
这款“爱心公交椅”不仅利用了声、光、机一体化技术,还应用了心理学原理。作为中学生的我,能够运用自己所学的课本上的文化理论知识,来学习解决实际生活中遇到的实际问题,并且有所收获,我的内心感到无比自豪。
(指导老师/韩志红)