巧拼火柴杆——启迪数学思维对话之二

来源 : 1996 年 02 期 

巧拼火柴杆——启迪数学思维对话之二

作者: 徐本顺(山东)

我们知道一个正方形可用4根火柴杆拼合而成,一个正立方体可用12根火柴杆沾合而成。反过来,我们可问:一定根数的火柴杆能摆成正方形吗?能摆成几个正方形?这正是刘徽数学活动小组今天要讨论的问题,王老师首先提出如下问题:

师:有8根火柴,能摆成几个正方形?

甲生:能摆成1个。

乙生:能摆成2个。

丙生:能摆成9个。

师:摆摆看。

于是甲生摆成如图1所示,乙生摆成如图2所示,丙生摆成如图3所示。

图1

图2

图3

师:这些图形非常对称,给人以美的享受。关于正方形的个数,大家还有不同的看法吗?

生:默然。

师:大家再想一想,4根火柴能摆成几个正方形?

甲生:摆成1个。

师:如果在这个正方形上再加上两根火柴,也就是6根火柴能摆成几个正方形?

丙生:可摆成如图4所示的形状,这时又增加了4个小正方形,加上原来那个大正方形,就是5个正方形。

师:还能摆成别的形状吗?

大家继续摆着,过了一会,王老师看到还没有人摆出新的花样,于是又作了如下的启发。

图4

图5

师:图4中的4个小正方形都是一样大的。如果不要求这4个小正方形都彼此一样,也就是说,有的可小一点,有的可大一点,会有怎样的结果呢?

丁生:可摆成如图5那样,这时有一个小正方形,一个大正方形,还有一个不大不小的正方形,一共是3个正方形。

师:现在我们可来考虑一下8根火柴能摆成几个正方形的问题了。像图3那种摆法,就只能有9个正方形吗?

丙生:我想起来了,再加上一个大正方形,共有10个正方形。

师:有一个大正方形,还有9个小正方形。还有没有遗漏的?

丙生:没有了。

师:再想想看,有没有比大的小,比小的大,这样的正方形能找出来吗?

丙生:对了,我找到了,还有4个不大也不小的正方形,这样像图3这种摆法共有14个正方形。

师:回答正确,这就是1+4+9。大家再摆摆看,除了上面图1—3的摆法外,还有其他的摆法吗?

过了一会,王老师看到大家还没有摆出来,又作了如下的启发。

师:类比于从图4到图5的想法,还有哪几种摆法?

在王老师的启发下,学生又想出如下几种摆法。

图6

图7

图8

甲生:还可摆成如图6所示的形状,这时有正方形的个数为10。

乙生:还可摆成如图7所示的形状,这时正方形的个数为8。

丙生:还可摆成如图8所示的形状,这时正方形的个数为6。

师:除了上面几种摆法外,还有其他的摆法吗?

学生在继续摆着火柴。王老师又启发说,可以在图2的基础上试试看。

过了一会,学生还没有摆出来,王老师又进一步启发如下:

图2中有两个正方形,让其中一个不动,另一个移动一下,看有什么结果。

图9

随即有几位同学摆出如图9所示的形状,这时有两个大正方形和一个小正方形,共3个正方形。原来还能组合出一个小正方形来,丁生不禁随口喊出:“真有意思,太美妙了。”

师:如果问题变成有8根火柴最多能摆成几个正方形,应该怎样回答?

甲生:最多能摆成14个正方形。

师:火柴不是8根,而是100根,问最多能摆成几个正方形?能回答出来吗?

生:默然。

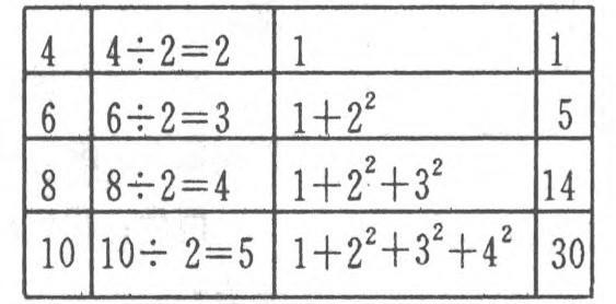
王老师让学生把4、6、8根火柴摆成正方形的情况排列成如下的表:

进一步启发列成如下形式的表:

通过观察上表的排列规律,有几位同学猜想,一般地应有

12+22+32+....+(火柴根数+2-1)2=正方形个数。

师:按上述这一规律可把100根火柴摆成最多正方形的个数计算出来。

学生自己计算,得出结果为

1 +22 +32 +....+ (100 +2 -1)2=40425。

师:49个数自乘,一一加起来,最后得出结果,这个运算过程是很复杂的,在以后的学习过程中,可以推出一个公式来,即

1+22+32+....+n2= [n(n+1)(2n+1)]÷6。

按上述公式来计算,那就十分简洁了.这就是

1÷6X49X (49+1) X (2X49+1)=40425。

最后王老师又提出如下的两个有趣问题,请同学们去思考。

1.如果规定一根火柴杆为1个单位长,8根火柴摆成的最大正方形的面积是多少?最小呢?

2.一张正方形纸切一刀形成两块,试问切三刀,将正方形纸最多分成几块?(答案见下期)

更正:上期本栏目切割正方体一题,由于排版错位,答案有误。四个正确答案应为:

1.24个角,7个立体角;

2. 26个角,8个立体角;

3. 28个角,9个立体角;

4. 30个角,10个立体角。

在此,谨向读者和作者致歉。

同期文章

    关键词相关

      作者相关